Шрифт:
A
A
A
Изображения:
Фон:
A
A
Вернуть
Отключить
ФЕДЕРАЦИЯ ПЛАВАНИЯ
ХАБАРОВСКОГО КРАЯ
Для слабовидящих
allochka_888@bk.ru
Онлайн результаты
соревнований
→
Новости
Бассейны
г. Хабаровск
г. Комсомольск-на-Амуре
Районы
36 часов
Соревнования
Календарь соревнований
Положения
Результаты
Судьи
Рекорды
Сборная края
Галереи
Фото
Видео
Витрина
Федерация
Контакты
НОВОСТИ
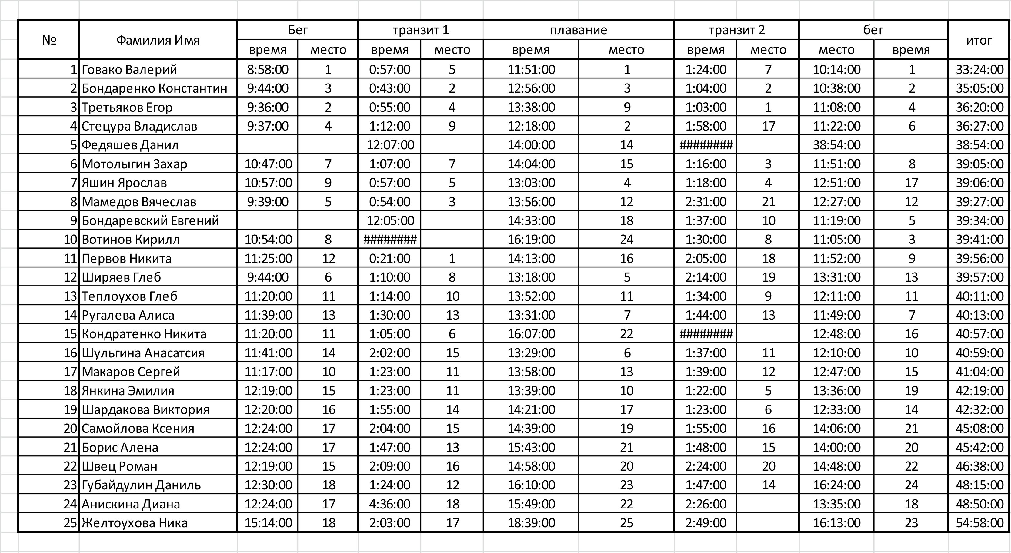
Итоги акватлона, проводимого среди спортсменов СШОР «Дельфин»
Итоги соревнований
Краевые соревнования по плаванию «На призы металлургов г. Комсомольска-на-Амуре». 14-18 апреля 2026г
21.04.2026
Межрегиональные соревнования по плаванию "Амурские тигрята" Хабаровск, 28. - 30.3.2026
30.03.2026
Первенство Хабаровского края по плаванию "Весёлый дельфин" среди юношей 12-13 лет, девушек 12-13 лет Комсомольск-на-Амуре, 4. - 6.3.2026
24.03.2026
Краевые соревнования по плаванию "Кубок Федерации плавания Хабаровского края". 1 этап
01.03.2026
Краевые соревнования по плаванию "Детская Лига плавания Хабаровского края" 1 этап.
20.02.2026
Смотреть больше
Спортивный календарь на 2025 год →
Краевые соревнования "III этап Кубка федерации плавания Хабаровского края" 25-27 сентября 2024 г.
Все события →